Расчет характеристики системы
НеобходимыйнапорнасосавнеразветвленномтрубопроводеполучаетсяизуравненияБЕРНОУЛЛИдляодномерныхстационарныхпотоковнесжимаемойсреды:

p在p出=давленияпривсасываниииливыпускеуровняжидкости
ρ = плотност жидкости
G = ско о ение о о одно о о падени (9,81 м / с²)
H地理=статическаяразницавысотмеждууровнемжидкостивемкостяхнастороневсасыванияинастороненагнетания。
Hl,合计=общиепотеринатрениетрубымеждувходомивыходом
v在, v出=средниескоростипотокавовсасывающеминапорномконтейнерах
Согласнозаконунепрерывности,средниескоростипотокавовсасывающеминапорномрезервуарахвбольшинствеслучаевнезначительномалыиимиможнопренебречь,еслиповерхностирезервуаровотносительновеликипосравнениюсповерхностямитрубопроводов。Вэтомслучаеприведеннаявышеформулаупрощаетсядо:

Статическая та ст характеристики системы, т。тачасть,котораянезависитотскоростипотока,иследовательно,расхода,равна:

Для зак кр т т т с стем т то з зна а ение ра а н но н но н л л。
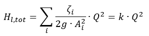
Общаясуммапотерьскладываетсяизпотерьвсехкомпонентоввсасывающегоинапорноготрубопроводов。ПридостаточнобольшихчислахРейнольдсаонпропорционаленквадратуобъемногорасхода。


G = ско о ение о о одно о о падени (9,81 м / с²)
Hl,合计= общие поте е и на те ние между входом и выходом
v我=средниескоростипотокачерезплощадьпоперечногосечениятрубы我
一个我= характерная площадь попе е е и но о у о и трубы
ζ我=коэффициентпотерьнатрениедлятруб,фитинговит。д。
Q = расход
K = ко и ф - ф - иен и по по и ионал ност
Приуказанныхусловияхтеперьможнозадатьпараболухарактеристикисистемы:

Коэффициентпропорциональностиkопределяетсяисходяизжелаемойрабочейточки。Пересечениехарактеристикисистемыскривойдроссельнойзаслонкиконкретногонасоса(характеристиканасоса)представляетсобойфактическуюрабочуюточку。




